Bạn mới bắt đầu chơi Vietlott và không biết xác suất trúng Vietlott 6/55 là bao nhiêu? Bạn muốn biết thêm về cách chơi và cơ cấu giải thưởng của laoi5 vé số này? Hãy xem bài viết dưới đây của Vietlott Online VSMB để biết thêm thông tin về Vetlott Power 6/55 nhé.
Vietlott Power 6/55 là gì?

Vietlott Power 6/55 là sản phẩm do Công ty Vietlott tung ra thị trường vào tháng 08/2017, với giá trị giải thưởng vô cùng hấp dẫn bao gồm 2 giải Jackpot, trong đó tổng giải thưởng ban đầu tối thiểu của giải Jackpot 1 là 30 tỷ đồng, được xác định qua 6 kỳ quay thưởng chính thức.
Ưu điểm của Power 6/55 là khi chỉ quay 5 số có kết quả là jackpot 1, bạn đã có cơ hội trúng jackpot 2 với giải thưởng tối thiểu 3 tỷ đồng nhờ sự xuất hiện của “Quả bóng đặc biệt”. ” chứa cặp số cuối cùng để tìm ra người trúng giải. Tất nhiên, nếu không tìm ra người trúng thưởng thì số tiền thưởng vẫn được cộng dồn sau mỗi lần quay thưởng.
Chỉ cần trúng vào 3 số trở lên để giành giải thưởng, bất kể số đó ở đâu. Kỳ quay thưởng Power 6/55 sẽ diễn ra vào lúc 18h thứ Ba, thứ Năm và thứ Bảy hàng tuần.
Cách chơi Vietlott Power 6/55

Có 3 cách để chọn số dự thưởng:
- Cách chơi vé lẻ: Trong dãy số từ 01 đến 55, người chơi chọn 6 số may mắn tạo thành nhóm số để vào quay thưởng. Các bộ có giá 10.000 VNĐ và chỉ có giá trị cho 1 lần rút thăm.
- Cách chơi bao 5: Người chơi chọn 5 số trong dãy số từ 01 đến 55, hệ thống phần mềm sẽ chọn số thứ 6 trong 50 số còn lại để tạo thành 50 nhóm số tham gia đánh số. Tổng cộng có 50 bộ số để tham gia 1 lần bao 5 tương đương mua 1 tờ vé số trị giá 500.000đ.
- Cách chơi bao 7 đến bao 18: Người chơi chọn đánh bao 1 loại bất kỳ sau đó chọn bao nhiêu số có thể trong bộ số từ 01 đến 55, ví dụ: đánh 7 số, chọn 7 số, chọn 18 số, chọn 18 số . Sau đó, hệ thống phần mềm sẽ giúp người chơi tạo ra tất cả các tổ hợp 6 chữ số mà người chơi chọn để tạo thành bộ số trúng thưởng.
Xác suất trúng Vietlott 6/55 là bao nhiêu?
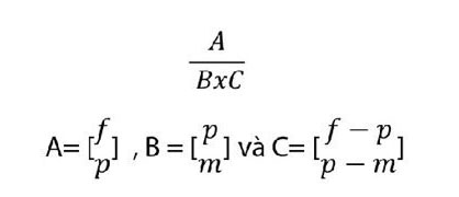
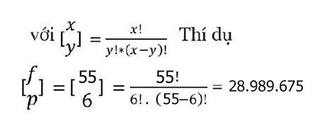
Dựa trên thông tin từ vsmb.vn thì cơ hội trúng thưởng của người chơi được tính theo công thức toán học sau:

Trong đó:
- f: là dãy số phải chọn, ở đây là 55
- p: là số các bộ số phải chọn, ở đây là 6 bộ số bạn phải chọn ra
- m: số bộ số phải trùng với giải để thắng, ở đây là 6 bộ số phải trùng với giải

Vậy theo công thức trên xác suất trúng Jackpot Power 6/55 là: 1/28.989.675
Tuy có tỷ lệ trúng thấp gần 1/29 triệu nhưng với cơ cấu giải Power 6/55, người trúng rất cao ít nhất 30 tỷ đồng và do nguyên tắc tích lũy (các giải không trúng sẽ được cộng dồn trong tương lai). năm). thời gian), đồng thời. Loại trò chơi này còn có điểm đặc biệt là sinh ra cặp số đặc biệt để người chơi nếu không trúng Jackpot 1 thì vẫn có cơ hội trúng Jackpot 2 với tổng giải thưởng cộng dồn tối thiểu 3 tỷ đồng. Vì vậy, Power 6/55 luôn thu hút rất nhiều sự quan tâm và kích thích tâm lý “cầu may” của người chơi.
Cơ cấu giải thưởng Vietlott Power 6/55
Vé đơn
- Số tiền tối thiểu để trúng giải là 30 tỷ đồng, sau mỗi kỳ quay thưởng nếu không có người trúng giải (đặc biệt) thì số tiền này sẽ tiếp tục được cộng dồn cho đến khi có người trúng.
- Nếu người trúng vé số đạt nhiều mức thì người trúng chỉ nhận được mức giải thưởng cao nhất.
- Nếu có nhiều người trúng Giải Đặc Biệt giống nhau, Giải Đặc Biệt sẽ được chia đều dựa trên giá trị tham gia của người trúng giải.
- Giá trị giải thưởng của giải nhất đến giải ba được tính bằng cách lấy số dự thưởng (giải 01 mệnh giá 10.000 đồng) nhân với giá trị tham gia dự thưởng 01 tương ứng.
Vé bao
Bạn có thể chọn cách chơi Bao để tăng cơ hội trúng thưởng và giành nhiều giải thưởng khác nhau. Hệ thống sẽ tự động đảo số thành từng nhóm 6 số khác nhau, tùy thuộc vào từng đầu số. Đây là những giải thưởng được trao:

Bài viết đã tổng hợp đầy đủ và chính xác về xác suất trúng Vietlott 6/55 để bạn tham khảo và chọn ra được cho mình những bộ số may mắn.
